/ 注册 部门街镇 无障碍 适老版 智能机器人 繁體版 支持IPV6
首页>人力资源和社会保障局>政务公开>政府信息公开目录>事业单位招聘
  • [ 索号 ]
  • 115002410091382337/2022-00206
  • [ 发文字号 ]
  • [ 主题分类 ]
  • 人事工作
  • [ 体裁分类 ]
  • 公选公招
  • [ 成文日期 ]
  • 2022-08-14
  • [ 发布日期 ]
  • 2022-08-14
  • [ 发布机构 ]
  • 秀山县人力资源和社会保障局
  • [ 有性 ]
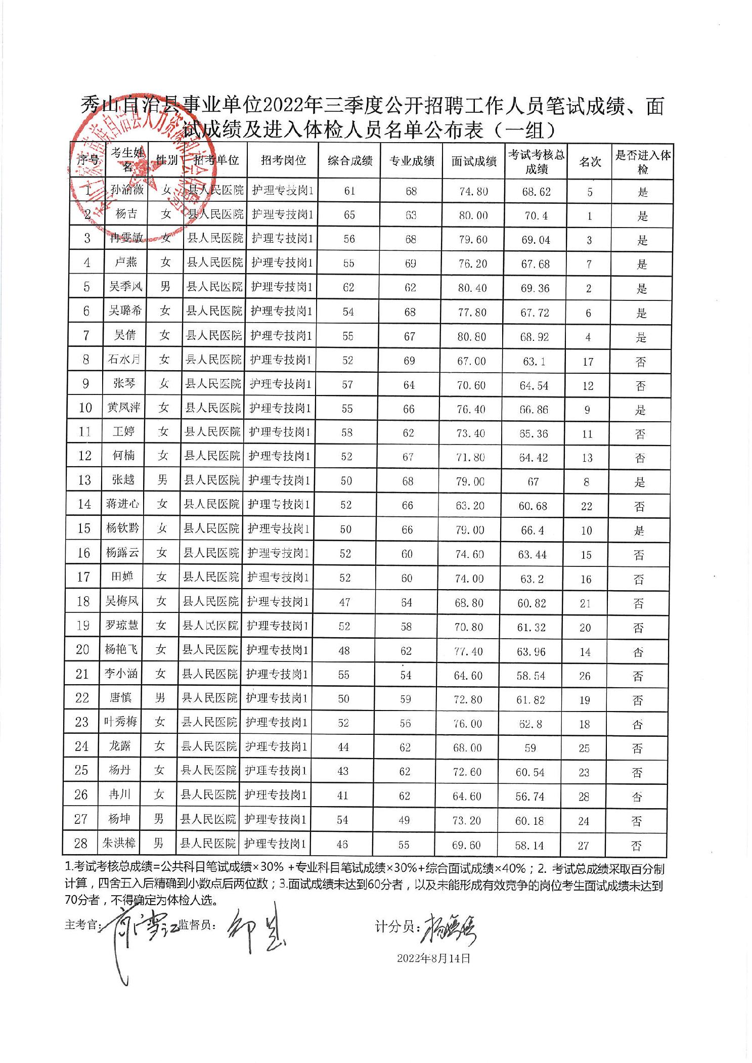
秀山自治县事业单位2022年三季度公开招聘工作人员(卫生)笔试、面试、总成绩及进入体检人员公布表
日期:2022-08-14


政策推荐
热门词汇
最新政策
换一换

版权所有:秀山土家族苗族自治县人民政府 主办:秀山土家族苗族自治县人民政府办公室

网站标识码:5002410002 ICP备案:渝ICP备18015756号-1 渝公网安备 50024102500278号

微信公众号